二叉树四种遍历
遍历描述

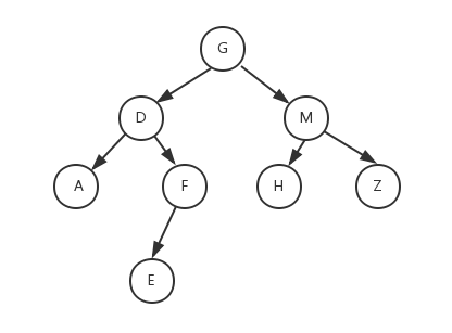
前序遍历:先根节点,再左子树,最后右子树;上图的访问结果为:GDAFEMHZ。
中序遍历:先左子树,再根节点,最后右子树;上图的访问结果为:ADEFGHMZ。
后序遍历:先左子树,再右子树,最后根节点,上图的访问结果为:AEFDHZMG。
层次遍历:上图的访问结果为:GDMAFHZE。
二叉树的前序遍历
public int[] preorderTraversal (TreeNode root) { ArrayList<Integer> list = new ArrayList<>(); dfs(list,root); int[] arr = list.stream().mapToInt(num -> Integer.valueOf(num)).toArray(); return arr; }
public void dfs(List<Integer> list,TreeNode root){ if(root==null){ return; }else{ list.add(root.val); dfs(list,root.left); dfs(list,root.right); } }
|
二叉树的中序遍历
public int[] inorderTraversal (TreeNode root) { ArrayList<Integer> list = new ArrayList<>(); dfs(list,root); int[] ints = list.stream().mapToInt(Integer::valueOf).toArray(); return ints; }
public void dfs(List<Integer> list,TreeNode root){ if(root==null){ return; } dfs(list,root.left); list.add(root.val); dfs(list,root.right); }
|
二叉树的后序遍历
public int[] postorderTraversal (TreeNode root) { ArrayList<Integer> list = new ArrayList<>(); dfs(list,root); int[] ints = list.stream().mapToInt(Integer::valueOf).toArray(); return ints; }
public void dfs(List<Integer> list, TreeNode root){ if(root==null){ return; } dfs(list,root.left); dfs(list,root.right); list.add(root.val); }
|
二叉树的层次遍历实现
public ArrayList<ArrayList<Integer>> levelOrder (TreeNode root) { ArrayList<ArrayList<Integer>> lists = new ArrayList<>(); bfs(lists,root,0); return lists; } public void bfs(ArrayList<ArrayList<Integer>> lists,TreeNode root,int level){ if(root==null){ return; } if(level >= lists.size()){ lists.add(new ArrayList<Integer>()); } lists.get(level).add(root.val); bfs(lists,root.left,level+1); bfs(lists,root.right,level+1); }
|
版权声明: 此文章版权归Chankeitin所有,如有转载,请註明来自原作者